Rev. Bras. Ciênc. Solo.2017;41:e0160468.
Management Systems Effect on Fertility Indicators of a Ferralsol with Vegetable Crops, as Determined by Different Statistical Tools
01/ago/2017
DOI: 10.1590/18069657rbcs20160468
ABSTRACT
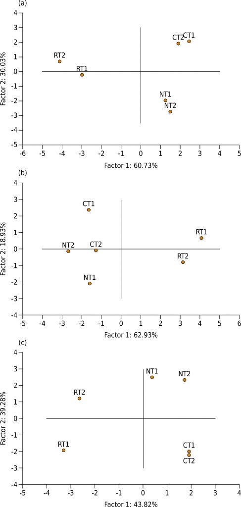
The intensive nature of soil use in vegetable production areas has led to a marked decrease in soil quality. The objective of this study was to evaluate the effects of adoption of soil management systems on vegetable production with regards to the chemical properties of a Rhodic Ferralsol after five years and to evaluate the use of the Principal Component Analysis (PCA) statistical tool in discriminating the different treatments. The experiment was conducted under field conditions in central Brazil in a randomized block design with four replications and a 3 × 2 factorial arrangement (three soil management systems × two cover crops). The soil management systems used were NT (no-tillage), RT (reduced tillage), and CT (conventional tillage). The cover crops used were corn (Zea mays) alone and corn intercropped with the gray velvet bean (Stizolobium niveum). Reduced tillage showed the highest values of sum of bases, cation exchange capacity (T), and total organic carbon contents in the 0.00-0.05 m layer. In the same layer, RT and CT showed higher values of pH and K content. No-tillage and RT showed the highest P and Ca2+ contents and H+Al and T values. In the 0.05-0.10 m layer, RT had higher a pH value and Mg2+ contents. No-tillage and CT had higher potential acidity in this layer. The management systems (0.10-0.30 m) and the cover plants (all layers) had no effect on the properties analyzed. The use of PCA determined that the two principal components explained the following percentage of the data variance: 90.8 % (0.0-0.05 m), 79.8 % (0.05-0.10 m), and 83.1 % (0.10-0.30 m). Analysis of the eigenvectors and the grouping of treatments in PCA also showed that RT was most effective in improving soil fertility properties. Reduced tillage was most effective in increasing soil fertility after five years. The PCA is recommended as a useful tool and it allowed the identification of patterns not revealed by traditional tools.
70

