Rev. Bras. Ciênc. Solo.2018;42:e0170393.
Long-Term Effect of Soil Use and Management on Organic Carbon and Aggregate Stability
05/set/2018
DOI: 10.1590/18069657rbcs20170393
ABSTRACT:
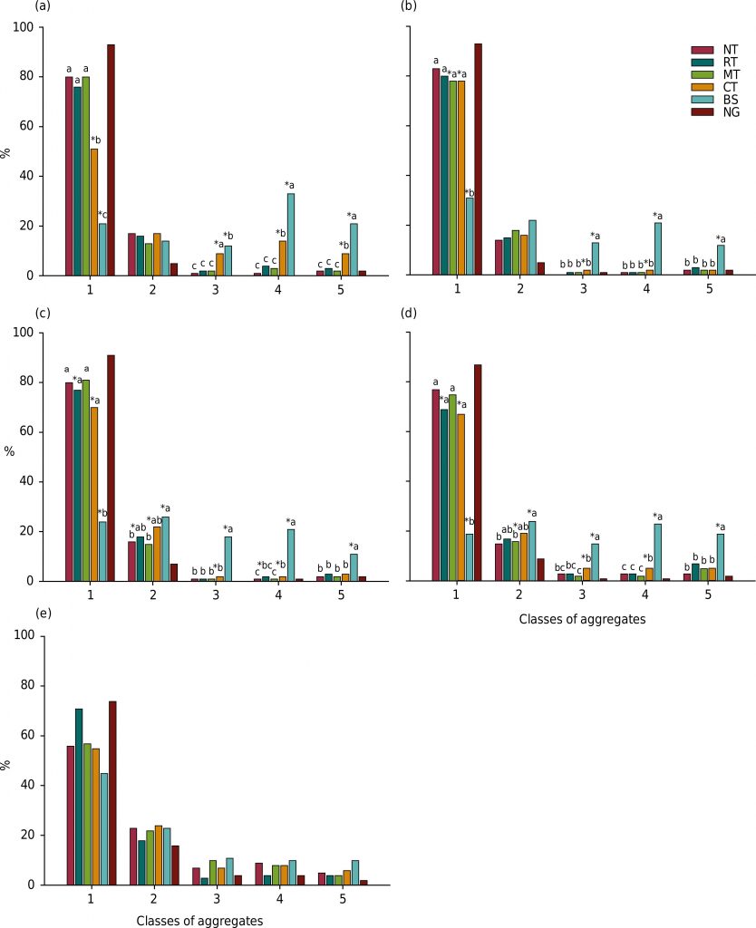
The conversion of native grassland into farmland causes changes in the soil. Tillage has profound effects on soil organic matter. The intensification of soil tillage decreases soil quality by reducing aggregate stability. Soil aggregate stability and soil organic matter are key indicators for soil quality and environmental sustainability in agro-ecosystems. The aim of the present study is to evaluate the total organic carbon content and the physical and chemical fractions of the organic matter in a soil under different uses and types of management over 27 years. Four soil tillage treatments with two annual crops were evaluated (no-tillage, NT; rotating tillage, RT; minimum tillage, MT; and conventional tillage, CT), as well as bare soil (BS) (standard plot of the Universal Soil Loss Equation – USLE) and natural grassland (NG) as a reference area. The experiment was carried out in an Inceptisol (Cambissolos) in southern Brazil. We determined total organic carbon (TOC) and particulate organic carbon (POC), and organic carbon associated with soil minerals (OCam). The chemical fractionation of carbon was into fulvic and humic acids, and humin. In addition, soil aggregates were divided into five size classes. The type of soil tillage affected the soil organic carbon content, namely TOC, POC, and OCam, as well as the composition of the physical and chemical fractions and their distribution in the arable soil layer. There was a positive relationship between stable aggregates and organic carbon in the soil: the higher the proportion of aggregates in class 1, the higher the organic carbon content. The results support the hypothesis that the carbon stock depends on intensification of a conservation tillage system with a continuous input of C through biomass, which maintains and supplies a continuous flow of C to the carbon transformation processes in the soil.
549

