Rev. Bras. Ciênc. Solo.2015;39(4):1151-60.
EFICIÊNCIA DE MÉTODOS ANALÍTICOS NA PREDIÇÃO DA DISPONIBILIDADE DE FÓSFORO PARA ARROZ IRRIGADO EM SOLOS CATARINENSES
01/jul/2015
DOI: 10.1590/01000683rbcs20140797
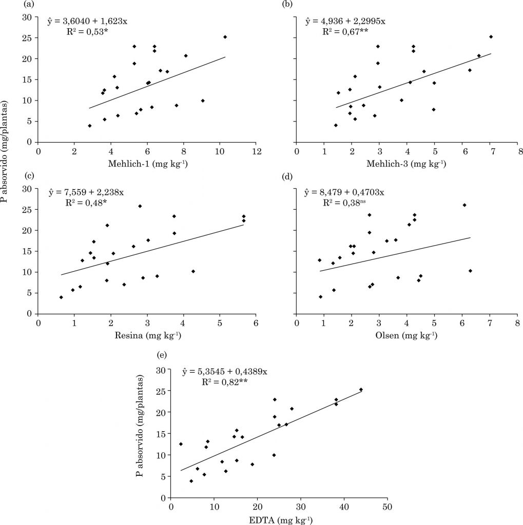
Os solos cultivados com arroz irrigado no Estado de Santa Catarina apresentam características mineralógicas e químicas distintas dos solos utilizados nos estudos de calibração do extrator Mehlich-1, para estimar a disponibilidade de fósforo do solo para as plantas. Desse modo, o objetivo deste trabalho foi avaliar a eficiência dos extratores Mehlich-1, Mehlich-3, Resina em lâminas, Olsen e EDTA na predição da disponibilidade P para plantas de arroz cultivadas em sistema de alagamento em solos representativos de lavouras orizícolas do Estado de Santa Catarina. O experimento foi conduzido em casa de vegetação, com cinco solos oriundos de várias lavouras orizícolas, em 2014. Foram adicionados aos solos quatro concentrações de P, correspondendo a 0, ¼, ½ e 1,0 vez a quantidade de P para atingir 0,2 mg L-1 de P na solução do solo (com base na capacidade de adsorção de cada solo). Foram usadas três repetições por tratamento, dispostas no delineamento completamente casualizado. Após cinco dias da adição dos níveis de P, as unidades experimentais constituídas por vasos de 8 L contendo 3,5 kg de solo seco foram amostradas para determinar o P disponível do solo por cinco métodos químicos. Na sequência, essas foram alagadas e cultivadas com seis plantas de arroz por 46 dias, quando se quantificaram a massa de matéria seca e o P absorvido pela parte aérea das plantas. A eficácia dos métodos Mehlich-1, Mehlich-3, Resina em lâminas, Olsen e EDTA foi avaliada por correlação linear entre a quantidade de P extraída dos solos e a quantidade absorvida pelas plantas. A quantidade de P absorvida pelas plantas de arroz aumentou com o acréscimo das doses de P aplicadas, variando com o tipo de solo. A maior recuperação do P adicionado aos solos foi obtida pelo extrator EDTA, seguido pelo Olsen. O P extraído pelo EDTA e Mehlich-3 evidenciou melhor correlação com quantidade de P absorvida pelo arroz. O agrupamento dos solos segundo características relacionadas à adsorção de P no solo melhora a eficiência de todos os métodos em predizer a disponibilidade de P em solos cultivados com arroz no sistema de inundação.
56

