Rev. Bras. Ciênc. Solo.2015;39(1):31-9.
USE OF SCALED SEMIVARIOGRAMS IN THE PLANNING SAMPLE OF SOIL CHEMICAL PROPERTIES IN SOUTHERN AMAZONAS, BRAZIL
01/Jan/2015
DOI: 10.1590/01000683rbcs20150525
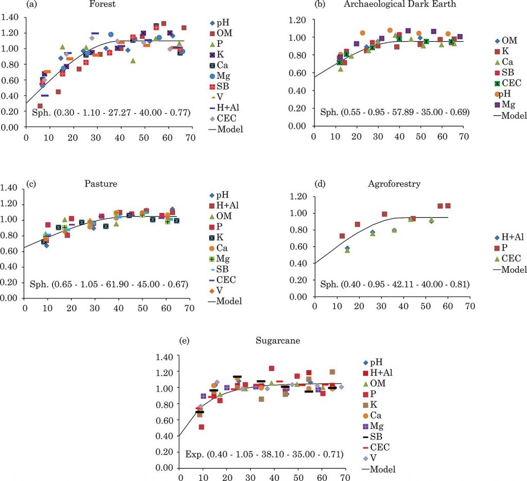
The lack of information concerning the variability of soil properties has been a major concern of researchers in the Amazon region. Thus, the aim of this study was to evaluate the spatial variability of soil chemical properties and determine minimal sampling density to characterize the variability of these properties in five environments located in the south of the State of Amazonas, Brazil. The five environments were archaeological dark earth (ADE), forest, pasture land, agroforestry operation, and sugarcane crop. Regular 70 × 70 m mesh grids were set up in these areas, with 64 sample points spaced at 10 m distance. Soil samples were collected at the 0.0-0.1 m depth. The chemical properties of pH in water, OM, P, K, Ca, Mg, H+Al, SB, CEC, and V were determined at these points. Data were analyzed by descriptive and geostatistical analyses. A large part of the data analyzed showed spatial dependence. Chemical properties were best fitted to the spherical model in almost all the environments evaluated, except for the sugarcane field with a better fit to the exponential model. ADE and sugarcane areas had greater heterogeneity of soil chemical properties, showing a greater range and higher sampling density; however, forest and agroforestry areas had less variability of chemical properties.
64

